Object Tracking
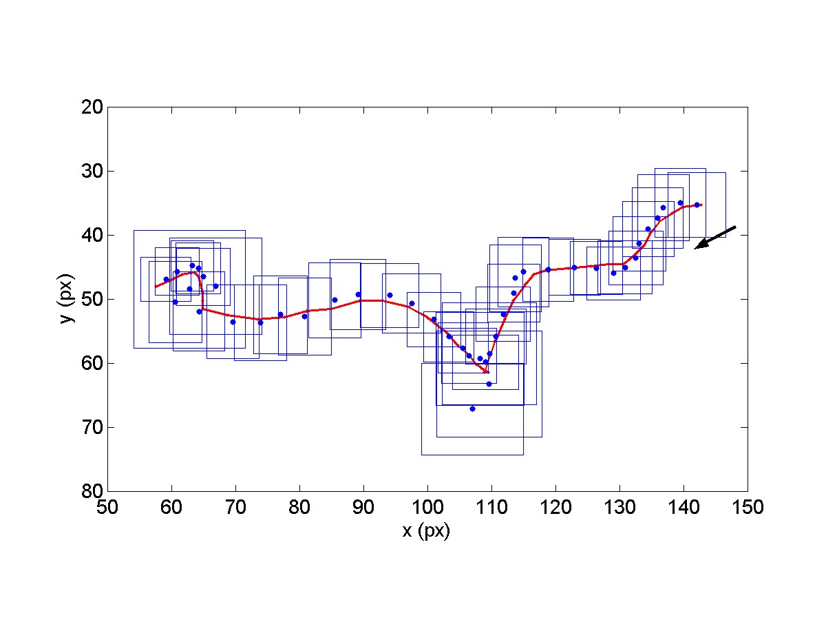
As part of a novel effort to detect toxins in drinking water, Dr. McKenna developed a micro-organism swim-tracking algorithm. The toxin detector worked by quantitatively evaluating the swimming behavior of a specific type of micro-organism. The algorithm had two main phases: (1) Identify organisms in each video frame, and (2) track the position of the organism over time. The first phase was accomplished using traditional image processing techniques. The second phase was driven by a Kalman Filter (KF) approach.
To the left, the upper panel shows a video snippet of the swimming organisms. Below is the tracking output. Click the image for an animated version. The red markers are the true, measured position of the tracked organism. The blue markers are the predicted positions of the organism, and the blue rectangles represents the prediction uncertainty (KF outputs).


